How Long Is 900 Minutes

154 minutes How long. 135 minutes How long does a 2000 word speech take.


Rounding Estimation Addition Subtraction Word Problems Task Cards Teks 3 4b

90005 days equals 1296072 minutes.

. This alternative conversion is way more common in daily life. 26 rows How long is 900 seconds. 90002 minutes equals 008928769841 weeks.

T d 900 min 000069444444444444 d. The first sexagesimal fraction of an hour or 60 seconds is the standard definition of a minute. 90013 seconds equals 1500216667 minutes.

90003 days equals 12960432 minutes. T d 0625 d. The final result is.

To swap units. You can also convert 900 minutes to hours. 90004 days equals 12960576 minutes.

900 minutes equals 15 hours and 0 minutes. 900 Seconds 15 Minutes exact result Display result as. A minute is a unit of time equal to 60 seconds.

900 min 0625 d. T min 1296000 min. 900 minutes equals 15 hours or 900 min 15 h.

900 min T d Solve the above proportion to obtain the time T in days. 90014 seconds equals 1500233333 minutes. 90001 minutes equals 540006 seconds.

Another way is saying that 900 minutes is equal to 1 0066666666666667 hours. Convert 900 minutes to seconds minutes hours days weeks and years. 900 s to min conversion.

How to take off target security tag The main components of anti-theft store How to take off target security tag. 115 minutes How long does a 1750 word speech take. What is 900 seconds in minutes.

900 minutes 54000 seconds. What is 90000 minutes in days. 90012 seconds equals 15002 minutes.

Equation steps for 900sec to min. You can also convert 900 minutes to hours and minutes. 90086 minutes equals 06255972222 days.

How long is 900 minutes Maharashtra Agricultural Officer. How many 1 hour is 60 minutes. 1 minute 60 seconds 900 seconds 900s 1m 900s 60s 15 minutes 900 seconds 15 minutes PS.

900 d 1296000 min. T min 900 d 1440 min. There are 15 hours in 900 minutes.

How long is 1 minute exactly. 900 minutes equals 15 hours. 90085 minutes equals 06255902778 days.

The final result is. To obtain this result proceed as. 90000 min to d conversion.

90088 minutes equals 06256111111 days. 90002 minutes equals 540012 seconds. 900 minutes 15 hours and 0 minutes.

We conclude that 900 minutes is equivalent to 54000 seconds. 90006 days equals 12960864 minutes. To convert any value from minutes into hours simply multiply the.

90001 minutes equals 008928670635 weeks. 90004 minutes equals 008928968254 weeks. For practical purposes we can round our final result to an approximate numerical value.

90087 minutes equals 06256041667 days. 900 Minutes is equal to 15 Hours. 96 minutes How long does a 1500 word speech take.

Convert 900 minutes to seconds. How many hours in 900 minutes. 900 d T min Solve the above proportion to obtain the time T in minutes.

90015 seconds equals 150025 minutes. Browse other values below. A day is the approximate time it takes for the Earth to complete one rotation.

90003 minutes equals 008928869048 weeks.


Readerzone


Scouting The Primeira Liga The Next Players To Make The Step Up Analytics Fc


The Argus Array The Argus Array The Evryscopes


Supporting Our Students Great Articles For Parents


K55 Business Bt5 2 Headset In Ear Retractable Earphone Hands Free B0i1 Ebay


900 Sec To Min How Long Is 900 Seconds In Minutes Convert


Gordo Elementary Is Excited To Gordo Elementary School Facebook


Solved Consider A Lead Acid Battery Having The Following Chegg Com


New Polaris Oem Ranger Xp 900 Glacier Ii Plow Mount 2879116 Ebay


Myles Is Working On His Typing He Types For 3 Minutes Straight And Is Able To Type 150 Words Brainly Com


How Many Words Are There In A 10 Minute Speech Word Counter Blog


Tongliya 1 Abs K55 Bluetooth Headset Lavalier Retractable Cable Smart Bluetooth Headset Sports Single Ear In Ear Suitable For Playing Music Golden Walmart Canada


15 Persons Complete A Work In 4 Days By Working 6 Hours A Day How Many Days It Will Take To Complete The Work If 5 Persons Work Same Hours Per Day


Pinoy Health Treasure 900 Calorie Diet Plan For Quick Weight Loss In Just 10 Days Ingredients For Your Diet Plan Oatmeal It Helps To Feel Fuller For A Long Time And


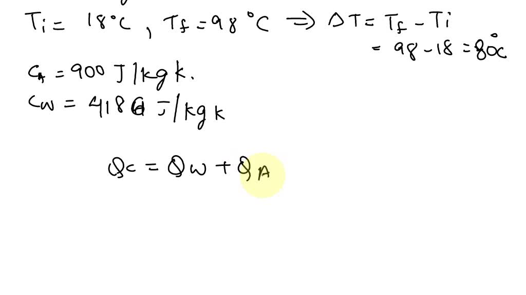
Solved A An Aluminum Electric Kettle With A Mass Of 500g Is Heated With A 500 W Heating Coil How Long In Minutes And Seconds Will It Take To Heat Up 30 0 Gram


The Impact Of Reading 20 Mins Each Day Learning Links


Reading At Home Walmley Junior School

Iklan Atas Artikel

Iklan Tengah Artikel 1

Iklan Tengah Artikel 2

Iklan Bawah Artikel